Talk to us
Have questions? Reach out to us directly.
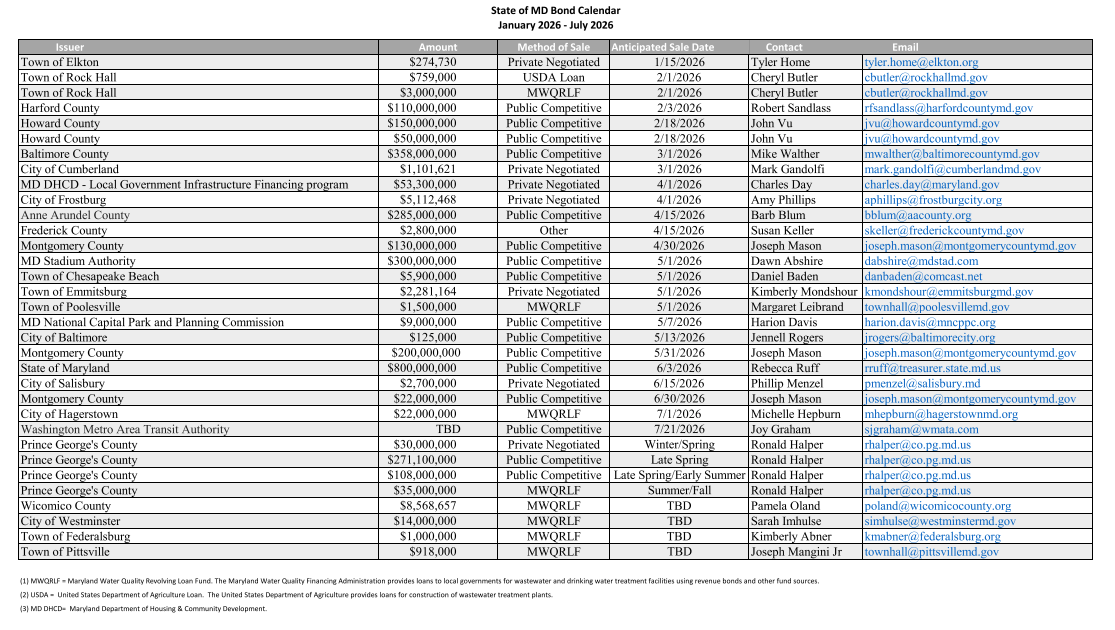
The following list of anticipated bond and loan issuances from various issuers across Maryland is provided for convenience and informational purposes only. The security, ratings and terms of each issuance will vary. Potential investors or interested parties should review the specific details of each offering. For further information regarding any particular issuance, please refer to the designated contacts listed.
Image Gallery

Talk to us
Have questions? Reach out to us directly.
